策马正少年 青春恰时来是什么诗?
据我所知这是:白日不到处,青春恰自来。选自清代袁枚的诗文《苔》意思是:春天和煦的阳光照不到的背阴处,生命照常在萌动,苔藓仍旧长出绿意来。 而前一句诗是:恰同学少年,风华正茂。我家乡在南中国,面朝大海四季花开什么歌?
面朝大海,春暖花开 李梦佳演唱歌曲 本词条是多义词,共11个义项 展开 《面朝大海,春暖花开》是著名作曲家臧云飞先生和李梦佳合作的一张创作型艺术歌曲专辑《人间四月天》里的一首歌,作词是:海子,作曲是:臧云飞。 中文名 面朝大海,春暖花开 所属专辑 人间四月天 歌曲原唱 李梦佳 填词 海子 谱曲 臧云飞 歌曲歌词 从明天起,做一个幸福的人 喂马、劈柴,周游世界 世界 从明天起,关心粮食和蔬菜 我有一所房子,面朝大海,春暖花开 花开 从明天起,和每一个亲人通信 告诉他们我的幸福 那幸福的闪电告诉我的 我将告诉每一个人 给每一条河每一座山取一个温暖的名字 陌生人,我也为你祝福,祝福 从明天起,做一个求歌曲《苔》
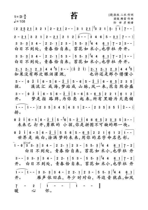
歌名:《苔》
演唱:梁俊
作词:袁枚/二水
作曲:梁俊/韩雷
歌词:
白日不到处,青春恰自来
苔花如米小,也学牡丹开
白日不到处,青春恰自来
苔花如米小,也学牡丹开
如果没有那次眼泪灌溉
也许还是那个懵懂小孩
溪流汇成海,梦站成山脉
风一来,花自然会盛开
梦是指路牌,为你亮起来
所有黑暗,为天亮铺排
未来已打开,勇敢的小孩
你是拼图不可缺的一块
世界是纯白,涂满梦的未来
用你的名字,命名色彩
白日不到处,青春恰自来
苔花如米小,也学牡丹开
白日不到处,青春恰自来
苔花如米小,也学牡丹开
雁声依旧在,年少时对白
耳边音犹在,如风暖心怀

扩展资料:
《苔》,由袁枚作词、梁俊谱曲的歌曲。2018年2月16日,由梁俊带领他的学生在中央电视台综合频道文化节目《经典咏流传》中演唱。
2013年梁俊带着新婚的妻子,来到贵州省石门坎。梁俊坚信:读古诗,是为了更好地做一个现代人。于是,他尝试唱着古诗弹着琴,一首一首把它记录下来。2018年2月16日在《经典咏流传》的舞台,梁俊和来自贵州山里的孩子们用天籁之声动情演绎了袁枚的《苔》。
歌曲简谱:

参考资料:百度百科—苔
青春,像什么?
青春,灿烂得像一只红玫瑰,热情似火。青春,灵秀得像冰山上的一株雪莲,娇艳欲滴。青春,更像那动人的朝阳,出现在苍穹处,踩着动人的舞步,照耀着青春的我们。可青春到底是什么模样?主流媒体一次次地告诉我们,是“星光依旧青春宇宙,山河锦绣画中游”,是“心还滚烫,打不败的叫做信仰”,是“我与我的国同在,筑梦路上不言败”。看到这里,屏幕前的列位看官是否觉得眼熟?没错!这就是王一博的青春三部曲,Z时代青年楷模王一博就是青春最好的模样! 图片 以青春之朝气,创千秋之伟业,就是一代代中国青年奋斗的模样。在五四青年节来临之际,「中国青年报」携手青年歌手王一博向青春致敬,唱响《青春宇宙》庆祝中国共青团成立百年!主流媒王一博青春恰时来,你觉得这首歌有哪些吐槽的地方?
过于洗脑,听完之后脑子里全是这首歌的旋律。

王一博(YiBo),1997年8月5日出生于中国河南省洛阳市,中国内地流行乐男歌手、演员、主持人、职业摩托车赛车手,男子演唱组合UNIQ成员。
2014年9月15日,以UNIQ组合成员身份正式出道;12月,组合获得尖叫爱奇艺之夜颁奖礼最具期待组合奖。2015年,主演青春励志电影《梦想合伙人》;同年,随组合获得酷音乐亚洲盛典年度内地最佳新人奖和尖叫爱奇艺之夜颁奖礼年度音乐大奖。2016年3月,随组合凭借歌曲《EOEO》获得美国International-KMusicAwards最佳编舞奖;4月29日,正式成为综艺节目《天天向上》“天天兄弟”成员;12月,领衔主演都市爱情励志喜剧《人间至味是清欢》。
2017年,主演青春校园仙侠剧《私立蜀山学园》;同年,获得第十七届音乐风云榜年度盛典偶像新势力奖、亚洲影响力盛典最佳新人演员奖以及微博电视影响力盛典年度新锐艺人奖。2018年2月,参与湖南卫视春节联欢晚会;3月,担任竞演类真人秀节目《创造101》舞蹈导师;4月,领衔主演仙侠古装剧《陈情令》。9月,主演青春电竞电视连续剧《陪你到世界之巅》。

2019年9月,主演古装剧《有翡》。10月,王一博入选2019福布斯中国30位30岁以下精英榜。2020年5月,主演刑侦涉案剧《冰雨火》。10月18日,凭借电视剧《陪你到世界之巅》获得第30届中国电视金鹰奖观众喜爱的男演员奖。
个人评价王一博虽然年纪不大,但实力不容小觑,是才华与颜值并存的舞蹈担当。他有着丰富的舞蹈经验,优秀的舞蹈控制力、节奏感与精准度得到了网友的称赞,在综艺节目《天天向上》凭借可甜可盐的帅气外形和炫酷舞技受到少女们的喜爱。
王一博不仅长相帅气,而且多才多艺,年纪尚小的他不仅谦逊有礼又极具偶像实力,是颇具潜力的“全能新人“。

王一博为杂志《男人风尚》拍摄的封面中展现真我,随性不羁与摩登华丽交错呈现,举手投足间显示出优秀的时尚天赋,为观众带来别具一格的视觉享受。
