337调查站

有没有大佬能解决下,我只会一部分

有没有大佬能解决下,我只会一部分
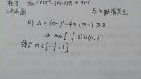
有没有大佬帮我解一下数学题谢谢?T6,就是先讨论m的取值,然后划归成一次函数或者二次函数来解附加题 比大小,但有两种,一种是做差,一种是做除法(前提是两个数为正)看差值与0的关系,或...

这是那里的图片?谢谢大佬们!!!

这是那里的图片?谢谢大佬们!!!
求这张图片的原图,以及出处,谢谢大佬Pixiv 图片ID:70470168——画师:treeware(画师ID :14408390)图片如下:右键点击图片--新标签页中打开--然后保存到电脑。很高兴为你解答,满意请采...

大佬们,这位是谁?

大佬们,这位是谁?
大佬们这位是谁和鹤。。。有关。。。。。是鹤丸国永。。。 和鹤没关。。。就是伊佐那社。。。 反正伊佐那社是肯定有红伞的。。。 不过好像有鹤球。。呸。鹤丸的红伞的那个...

大佬能向您求一部动漫吗?

大佬能向您求一部动漫吗?
哪位大佬向我推荐几部好看的动漫不知道提问者喜欢什么类型的动漫,我算是软妹子吧,特别喜欢治愈系的动漫。
夏目友人帐,是我学生时代很喜欢的,出来四五部了,一俩集一个独立的故事,...

求这张图的原图,望大佬告知

求这张图的原图,望大佬告知
求求大佬帮我找找这张原图图片如下:右键点击图片--新标签页中打开链接--然后保存到电脑。
很高兴为你解答,满意请采纳,谢谢。~求这张图的原图,谢谢大佬们!Pixiv作品ID:74665293—...

有没有大佬有这张原图

有没有大佬有这张原图
有没有大佬有这张图的原图啊?!有出处的话也一起带上。出处是崩坏三左边是琪亚娜·卡斯兰娜右边是八重樱各位大佬有没有这张图的高清无水印的?高清原图
出自:3000 × 1961 像素...

求大佬帮帮忙啊!!!!

求大佬帮帮忙啊!!!!
请各位大佬帮帮忙?人生中不尽人意的事十之有九,无论是职场中还是生活中,终究会遇到一些难以解决困难,不得不有求于他人。 如果没有硬关系,寻求别人帮忙的时候就会很不容易,卑躬屈...

类似魔王学院的不适合者动漫有哪些

类似魔王学院的不适合者动漫有哪些
魔王重生的动漫有哪些?1、《魔王大人》:男主是一个社会人士以被称之为「魔王」角色的登陆状态下,转移到了异世界,还遇到了一个腿脚不方便的小孩子。却被许多国家和圣女讨伐。这...

求助大佬,在线等,急~~~

求助大佬,在线等,急~~~
跪求大佬,在线等,急~是关于初中物理的依照片中的U型管为例说明,水和水银面交界处是U型管中水的数量所决定的,水多则偏上,水少则偏下。总之只要保持水和水银液面差在27.2cm,水银液面...

求大佬给个原图

求大佬给个原图
各位大佬,求个原图呀题主您好:这是原图哈:原图如果满意望采纳。大佬们谁有这个图片的原图?原图如下:出自P站画师——,Pid=2056319
网页:右键单击图片,选择“在新标签页中打开”可以...

求大佬分享一下原图,谢谢

求大佬分享一下原图,谢谢
求大佬发一下这几张图的原图,谢谢,最好可以有画师的p站id和画师名第一张是画师ヨウ(P站ID:301422)的作品,作品ID:66759881第二三张图为画师ダンミル(P站ID:5155946)的作品,第二张画师推...

求大佬有这张图的施舍我一下!

求大佬有这张图的施舍我一下!
谁有这张完整图?求大佬!下边就是你要的高清完整版图片,送给你,希望采纳哦:求大佬搞一下这张图片的网络链接给我。我好急的!在线等!弄好链接这里也不能发啊,违反百度知道的规定,发了你...

求问大佬这张图出处????

求问大佬这张图出处????
各位大佬,求这张图的出处此图出自《龙王的工作》,图中人物:雏鹤爱 讲述了九头龙八一年仅十六岁就拿下将棋界最强大的“龙王”头衔,而他家里却出现一位小学三年级学生,雏鹤爱,九岁...

有谁知道,这是在哪里?

有谁知道,这是在哪里?
纬度:50.3 经度:90.3 高度400 这是在哪里 有谁知道 谢谢刚才看了一下地图,这个位置在蒙古西部和俄罗斯边界附近。这个是在什么地方,有大佬知道吗?吴山天风
地址:杭州市上城区城隍...

有大佬知道这个图的出处吗

有大佬知道这个图的出处吗
有人知道这个图出自哪里吗?有没有大佬有原图的,谢谢出处:《原神》及其衍生作品人物:神里绫华原图:麻烦请及时采纳回答,谢谢!有那个大佬知道这个的原图出处吗?出处:动漫《我的英雄学...

请问各位大佬,这是哪部动漫

请问各位大佬,这是哪部动漫
请问各位大佬这俩是哪部动漫的?两图均为同一角色。出自《盾之勇者成名录》。角色:菲洛尚文第一个魔物,由两头次级菲洛鸟交配产下的食用版的菲洛鸟。最喜欢的是拉马车和主人。是...

有没有大佬知道这是什么呀quqqq

有没有大佬知道这是什么呀quqqq
有没有哪个大佬知道这是啥,这种情况你不用惊讶,这个是正常现象,这个章鱼是系统内置有的,虽然你这个是vivo的手机,但是系统是安卓的,你可以通过图3可以知道,安卓系统在每个安卓的版...

初音这图有没有高清全身的?

初音这图有没有高清全身的?
求这张初音图片的高清原图?高清原图出自:百度识图 【图楼】都是经老夫多年收集之图。此举别无他求,只愿娃友们在定制娃头时能有更多的选择请问谁有这张初音的超清壁纸,谢谢壁纸:...

不知道怎么用求大佬教程,在线等。

不知道怎么用求大佬教程,在线等。
用u盘启动准备装系统,iso文件已下载好,但是到了这个界面一直不动是怎么回事,求大佬们指教,在线等U盘安装系统,ghost走到99%就一直不动了的解决方法:1、进入pe系统,删除启动分区(C),重...

哪位大佬知道这个图片的出处?

哪位大佬知道这个图片的出处?
各位大佬,问一下这图出自哪里?这图出自:伯曼猫。伯曼猫(英文名:Birman),别名缅甸圣猫,传说最早由古代缅甸寺庙里的僧侣饲养,视为护殿神猫,18世纪传入欧洲逐步进化定型。伯曼猫体型较长...

ATD的这个合集哪位还有

ATD的这个合集哪位还有
ATD WORKS01 这个还有吗?你好,朋友现在这个没有了,可以等一下,也许明年就有了,明年一月份吧,等一下吧!《最强漫画家》txt下载在线阅读全文,求百度网盘云资源《最强漫画家》百度网盘t...

求大佬告诉我这是谁?跪求

求大佬告诉我这是谁?跪求
这个是谁,求大佬告知这是一位非常漂亮的女明星,肯定有很多人喜欢她容易追的女孩类型一、比较内向或者生活简单的女孩子 内向或者生活简单的女生,经常给人一种不好切入话题,不冷...

谁知道这个人是谁吗?

谁知道这个人是谁吗?
有人知道这个是谁吗?这个人就是这个人的老婆。知道这个人是谁么?泽维尔·多兰(Xavier Dolan),加拿大演员,导演,编剧 1989年生于加拿大魁北克,父亲是演员,12岁开始演戏。他出演过加拿...

这个怎么解决大佬们

这个怎么解决大佬们
请问大佬们,这个怎么解决......打开这些设置的时候弹出这些乱七八糟的。1、单击开始菜单,打开“控制面板”。 2、在“控制面板”中选择“区域和语言”选项。 3、在“区域和语...

求一个电影,帮帮我

求一个电影,帮帮我
求一部电影。各位大佬帮帮忙。异魔禁区 《异魔禁区》是图尔特·戈登执导, Francisco Rabal、Macarena Gómez等主演的恐怖电影。 保罗、芭芭拉、霍华、维琪因落水后到英波卡...