极限怎么求
求极限的方法总结如下:
1、抽象数列求极限这类题一般以选择题的形式出现,因此可以通过举反例来排除。此外,也可以按照定义、基本性质及运算法则直接验证。
2、具体的求极限,可以用数学归纳法或不等式的放缩法判断数列的单调性和有界性,进而确定极限存在性;其次,通过递推关系中取极限,解方程,从而得到数列的极限值。
3、如果数列极限能看成某函数极限的特例,形如,则利用函数极限和数列极限的关系转化为求函数极限,此时再用洛必达法则求解。

4、若可以找到这个级数所对应的幂级数,则可以利用幂级数函数的方法把它所对应的和函数求出,再根据这个极限的形式代入相应的变量求出函数值。
5、若数列每一项都可以提出一个因子,剩余的项可用一个通项表示,则可以考虑用定积分定义求解数列极限。
求极限的方法?
1、第一个重要极限的公式:
lim sinx / x = 1 (x->0)当x→0时,sin / x的极限等于1。
特别注意的是x→∞时,1 / x是无穷小,无穷小的性质得到的极限是0。
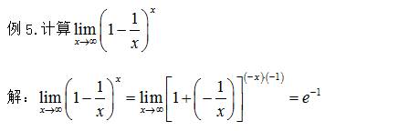
2、第二个重要极限的公式:
lim (1+1/x) ^x = e(x→∞)当x→∞时,(1+1/x)^x的极限等于e;或当x→0时,(1+x)^(1/x)的极限等于e。

求极限基本方法有:
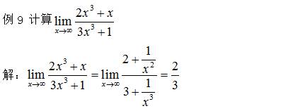
1、分式中,分子分母同除以最高次,化无穷大为无穷小计算,无穷小直接以0代入。
2、无穷大根式减去无穷大根式时,分子有理化。
3、运用洛必达法则,但是洛必达法则的运用条件是化成无穷大比无穷大,或无穷小比无穷小,分子分母还必须是连续可导函数。
求极限的方法大全
1、利用函数的连续性求函数的极限(直接带入即可)
如果是初等函数,且点在的定义区间内,那么,因此计算当时的极限,只要计算对应的函数值就可以了。

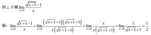
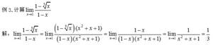
2、利用有理化分子或分母求函数的极限
a.若含有,一般利用去根号

b.若含有,一般利用,去根号

3、利用两个重要极限求函数的极限


4、利用无穷小的性质求函数的极限
性质1:有界函数与无穷小的乘积是无穷小
性质2:常数与无穷小的乘积是无穷小
性质3:有限个无穷小相加、相减及相乘仍旧无穷小

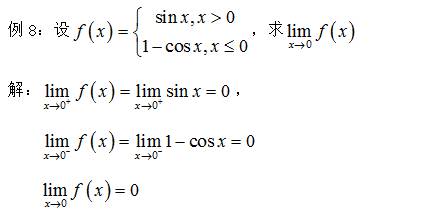
5、分段函数的极限
求分段函数的极限的充要条件是:

6、利用抓大头准则求函数的极限

其中为非负整数.

怎么求极限?
极限属于微积分的基础概念,解法如下:
解析:
x/(x+sinx)=1/(1+sinx/x)
∵ -1≤sinx≤1
∴ sinx有界
又∵ x->+∞时,lim(1/x)=0
∴ lim[(sinx)(1/x)]=0
∴ lim[x/(x+sinx)]=1/(1+0)=1
扩展资料:
性质
1、唯一性:若数列的极限存在,则极限值是唯一的,且它的任何子列的极限与原数列的相等。
2、有界性:如果一个数列’收敛‘(有极限),那么这个数列一定有界。
但是,如果一个数列有界,这个数列未必收敛。例如数列 :“1,-1,1,-1,……,(-1)n+1”
3、与子列的关系:数列{xn} 与它的任一平凡子列同为收敛或发散,且在收敛时有相同的极限;数列
收敛的充要条件是:数列{xn} 的任何非平凡子列都收敛。
单调收敛定理
单调有界数列必收敛
函数极限
设函数
在点
的某一去心邻域内有定义,如果存在常数A,对于任意给定的正数
(无论它多么小),总存在正数
,使得当x满足不等式
时,对应的函数值
都满足不等式:|f(x)-A|<ε,则称函数f当x趋于+∞时以A为极限,记作lim f(x) = A 或 f(x)->A(x->+∞)
参考资料:百度百科——lim
高数中的极限如何求?
一、利用极限四则运算法则求极限
函数极限的四则运算法则:设有函数,若在自变量f(x),g(x)的同一变化过程中,有limf(x)=A,limg(x)=B,则
lim[f(x)±g(x)]=limf(x)±limg(x)=A±B
lim[f(x)・g(x)]=limf(x)・limg(x)=A・B
lim==(B≠0)
(类似的有数列极限四则运算法则)现以讨论函数为例。
对于和、差、积、商形式的函数求极限,自然会想到极限四则运算法则,但使用这些法则,往往要根据具体的函数特点,先对函数做某些恒等变形或化简,再使用极限的四则运算法则。方法有:
1.直接代入法
对于初等函数f(x)的极限f(x),若f(x)在x点处的函数值f(x)存在,则f(x)=f(x)。
直接代入法的本质就是只要将x=x代入函数表达式,若有意义,其极限就是该函数值。
2.无穷大与无穷小的转换法
在相同的变化过程中,若变量不取零值,则变量为无穷大量?圳它的倒数为无穷小量。对于某些特殊极限可运用无穷大与无穷小的互为倒数关系解决。
(1)当分母的极限是“0”,而分子的极限不是“0”时,不能直接用极限的商的运算法则,而应利用无穷大与无穷小的互为倒数的关系,先求其的极限,从而得出f(x)的极限。
(2)当分母的极限为∞,分子是常量时,则f(x)极限为0。
3.除以适当无穷大法
对于极限是“”型,不能直接用极限的商的运算法则,必须先将分母和分子同时除以一个适当的无穷大量x。
4.有理化法
适用于带根式的极限。
二、利用夹逼准则求极限
函数极限的夹逼定理:设函数f(x),g(x),h(x),在x的某一去心邻域内(或|x|>N)有定义,若①f(x)≤g(x)≤h(x);②f(x)=h(x)=A(或f(x)=h(x)=A),则g(x)(或g(x))存在,且g(x)=A(或g(x)=A)。(类似的可以得数列极限的夹逼定理)
利用夹逼准则关键在于选用合适的不等式。
三、利用单调有界准则求极限
单调有界准则:单调有界数列必有极限。首先常用数学归纳法讨论数列的单调性和有界性,再求解方程,可求出极限。
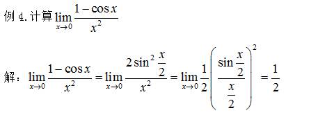
四、利用等价无穷小代换求极限
常见等价无穷小量的例子有:当x→0时,sinx~x;tanx~x;1-cosx~x;e-1~x;ln(1+x)~x;arcsinx~x;arctanx~x;(1+x)-1~x。
等价无穷小的代换定理:设α(x),α′(x),β(x)和β′(x)都是自变量x在同一变化过程中的无穷小,且α(x)~α′(x),β(x)~β′(x),lim存在,则lim=lim。
五、利用无穷小量性质求极限
在无穷小量性质中,特别是利用无穷小量与有界变量的乘积仍是无穷小量的性质求极限。
六、利用两个重要极限求极限
使用两个重要极限=1和(1+)=e求极限时,关键在于对所给的函数或数列作适当的变形,使之具有相应的形式,有时也可通过变量替换使问题简化。
七、利用洛必达法则求极限
如果当x→a(或x→∞)时,两个函数f(x)与g(x)都趋于零或趋于无穷小,则可能存在,也可能不存在,通常将这类极限分别称为“”型或“”型未定式,对于该类极限一般不能运用极限运算法则,但可以利用洛必达法则求极限。
